Fractional Knapsack Problem: Greedy algorithm with Example

What is Greedy Strategy?

Greedy algorithms are like dynamic programming algorithms that are often used to solve optimal problems (find best solutions of the problem according to a particular criterion).

Greedy algorithms implement optimal local selections in the hope that those selections will lead to an optimal global solution for the problem to be solved. Greedy algorithms are often not too hard to set up, fast (time complexity is often a linear function or very much a second-order function). Besides, these programs are not hard to debug and use less memory. But the results are not always an optimal solution.

Greedy strategies are often used to solve the combinatorial optimization problem by building an option A. Option A is constructed by selecting each component Ai of A until complete (enough n components). For each Ai, you choose Ai optimally. In this way, it is possible that at the last step you have nothing to select but to accept the last remaining value.

There are two critical components of greedy decisions:

  1. Way of greedy selection. You can select which solution is best at present and then solve the subproblem arising from making the last selection. The selection of greedy algorithms may depend on previous selections. But it cannot depend on any future selection or depending on the solutions of subproblems. The algorithm evolves in a way that makes selections in a loop, at the same time shrinking the given problem to smaller subproblems.
  2. Optimal substructure. You perform the optimal substructure for a problem if the optimal solution of this problem contains optimal solutions to its subproblems.

A greedy algorithm has five components:

  1. A set of candidates, from which to create solutions.
  2. A selection function, to select the best candidate to add to the solution.
  3. A feasible function is used to decide if a candidate can be used to build a solution.
  4. An objective function, fixing the value of a solution or an incomplete solution.
  5. An evaluation function, indicating when you find a complete solution.

In this tutorial, you will learn

The Idea of Greedy One

With the first idea, you have the following steps of Greedy One:

However, this greedy algorithm does not always give the optimal solution. Here you have a counter-example:

The Idea of Greedy Two

With the second idea, you have the following steps of Greedy Two:

However, this greedy algorithm does not always give the optimal solution. Here you have a counter-example:

The Idea of Greedy Three

With the third idea, you have the following steps of Greedy Three. In fact, this is the most widely used algorithm.

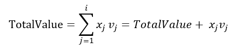
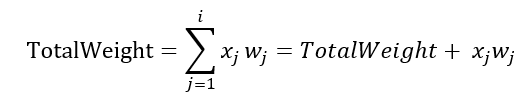
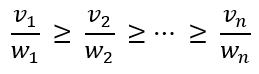
Idea: The greedy idea of that problem is to calculate the ratio of each . Then sort these ratios with descending order. You will choose the highest package and the capacity of the knapsack can contain that package (remain > wi). Every time a package is put into the knapsack, it will also reduce the capacity of the knapsack.

Way to select the packages:

Steps of Algorithm

You see this is a problem of finding max. The list of packages is sorted in descending order of unit costs to consider branching.

Pseudo code for the algorithm:

Fractional Knapsack (Array W, Array V, int M)
1. for i <- 1 to size (V)
2. 	calculate cost[i] <- V[i] / W[i]
3. Sort-Descending (cost)
4. i ← 1
5. while (i <= size(V))
6. 	if  W[i] <= M 
7.		M ← M – W[i]
8.		total ← total + V[i];
9. 	if  W[i] > M
10. 		i ← i+1

The complexity of the algorithm:

Java code for Greedy Three

public class KnapsackPackage {
	
	private double weight;
	private double value;
	private Double cost;
	
	public KnapsackPackage(double weight, double value) {
		super();
		
		this.weight = weight;
		this.value = value;
		this.cost = new Double(value / weight);
	}

	public double getWeight() {
		return weight;
	}

	public double getValue() {
		return value;
	}

	public Double getCost() {
		return cost;
	}

}
public void knapsackGreProc(int W[], int V[], int M, int n) {
	KnapsackPackage[] packs = new KnapsackPackage[n];
	for (int i = 0; i < n; i ++) {
		packs[i] = new KnapsackPackage(W[i], V[i]);
	}
	
	Arrays.sort(packs, new Comparator<KnapsackPackage>() {
		@Override
		public int compare(KnapsackPackage kPackA, KnapsackPackage kPackB) {
			return kPackB.getCost().compareTo(kPackA.getCost());
		}
	});
	
	int remain = M;	
double result = 0d;
	
	int i = 0;
	boolean stopProc = false;
	while (!stopProc) {
		if (packs[i].getWeight() <= remain) {
			remain -= packs[i].getWeight();
			result += packs[i].getValue();
			
			System.out.println("Pack " + i + " - Weight " + packs[i].getWeight() + " - Value " + packs[i].getValue());
		}
		
		if (packs[i].getWeight() > remain) {
			i ++;
		}
		
		if (i == n) {
			stopProc = true;
		}
	}
	
	System.out.println("Max Value:\t" + result);
}
Function knapsackGreProc() in Java

Explanation of code:

  1. Initialize weight and value for each knapsack package.
  2. Sort knapsack packages by cost with descending order.
  3. If select package i.
  4. If select the number of package i is enough.
  5. Stop when browsing all packages.

In this tutorial, you have two examples. Here is java code to run the above program with two examples:

public void run() {
	/*
	 * Pack and Weight - Value
	 */
//int W[] = new int[]{15, 10, 2, 4};
	int W[] = new int[]{12, 2, 1, 1, 4};
	
//int V[] = new int[]{30, 25, 2, 6};
	int V[] = new int[]{4, 2, 1, 2, 10};
	
	/*
	 * Max Weight
	 */
//int M = 37;
	int M = 15;
	int n = V.length;
	
	/*
	 * Run the algorithm
	 */
	knapsackGreProc(W, V, M, n);
}

You have the output:

Pack 0 - Weight 10.0 - Value 25.0
Pack 0 - Weight 10.0 - Value 25.0
Pack 0 - Weight 10.0 - Value 25.0
Pack 2 - Weight 4.0 - Value 6.0
Pack 3 - Weight 2.0 - Value 2.0
Max Value:	83.0
Pack 0 - Weight 4.0 - Value 10.0
Pack 0 - Weight 4.0 - Value 10.0
Pack 0 - Weight 4.0 - Value 10.0
Pack 1 - Weight 1.0 - Value 2.0
Pack 1 - Weight 1.0 - Value 2.0
Pack 1 - Weight 1.0 - Value 2.0
Max Value:	36.0

Analyze the first example:

Steps for applying algorithm for the first example:

With the same analysis of the second example, you have the result: select package 4 (3 times) and package 5 (3 times).

Python3 code for Greedy Three

class KnapsackPackage(object): 
      
    """ Knapsack Package Data Class """
    def __init__(self, weight, value): 
        self.weight = weight 
        self.value = value 
        self.cost = value / weight 
  
    def __lt__(self, other): 
        return self.cost < other.cost
class FractionalKnapsack(object):
    def __init__(self):
        
    def knapsackGreProc(self, W, V, M, n):
        packs = []
        for i in range(n): 
            packs.append(KnapsackPackage(W[i], V[i]))
            
        packs.sort(reverse = True)
        
        remain = M
        result = 0
        
        i = 0
        stopProc = False
        
        while (stopProc != True):
            if (packs[i].weight <= remain):
                remain -= packs[i].weight;
                result += packs[i].value;
                
                print("Pack ", i, " - Weight ", packs[i].weight, " - Value ", packs[i].value)
            
            if (packs[i].weight > remain):
                i += 1
                
            if (i == n):
                stopProc = True            
        
        print("Max Value:\t", result)   
Function knapsackGreProc() in Python

Explanation of code:

  1. Initialize weight and value for each knapsack package.
  2. Sort knapsack packages by cost with descending order.
  3. If select package i.
  4. If select the number of package i is enough.
  5. Stop when browsing all packages.

Here is Python3 code to run the above program with the first example:

if __name__ == "__main__": 
    W = [15, 10, 2, 4] 
    V = [30, 25, 2, 6] 
    M = 37
    n = 4
    
    proc = FractionalKnapsack()
    proc.knapsackGreProc(W, V, M, n)

You have the output:

Pack  0  - Weight  10  - Value  25
Pack  0  - Weight  10  - Value  25
Pack  0  - Weight  10  - Value  25
Pack  2  - Weight  4  - Value  6
Pack  3  - Weight  2  - Value  2
Max Value:	 83

C# code for Greedy Three

using System;
namespace KnapsackProblem
{
    public class KnapsackPackage
    {
        private double weight;
        private double value;
        private double cost;

        public KnapsackPackage(double weight, double value)
        {
            this.weight = weight;
            this.value = value;

            this.cost = (double) value / weight;
        }

        public double Weight
        {
            get { return weight; }
        }

        public double Value
        {
            get { return value; }
        }

        public double Cost
        {
            get { return cost; }
        }
    }
}
using System;
namespace KnapsackProblem
{
    public class FractionalKnapsack
    {
        public FractionalKnapsack()
        {
        }

        public void KnapsackGreProc(int[] W, int[] V, int M, int n)
        {
            KnapsackPackage[] packs = new KnapsackPackage[n];
            for (int k = 0; k < n; k++)
                packs[k] = new KnapsackPackage(W[k], V[k]);

            Array.Sort<KnapsackPackage>(packs, new Comparison<KnapsackPackage>(
                 (kPackA, kPackB) => kPackB.Cost.CompareTo(kPackA.Cost)));

            double remain = M;
            double result = 0d;

            int i = 0;
            bool stopProc = false;

            while (!stopProc)
            {
                if (packs[i].Weight <= remain)
                {
                    remain -= packs[i].Weight;
                    result += packs[i].Value;

                    Console.WriteLine("Pack " + i + " - Weight " + packs[i].Weight + " - Value " + packs[i].Value);
                }

                if (packs[i].Weight > remain)
                {
                    i++;
                }

                if (i == n)
                {
                    stopProc = true;
                }
            }

            Console.WriteLine("Max Value:\t" + result);
        }        
    }
}
Function KnapsackGreProc() in C#

Explanation of code:

  1. Initialize weight and value for each knapsack package.
  2. Sort knapsack packages by cost with descending order.
  3. If select package i.
  4. If select the number of package i is enough.
  5. Stop when browsing all packages.

Here is C# code to run the above program with the first example:

public void run()
{
    /*
     * Pack and Weight - Value
     */
    int[] W = new int[]{15, 10, 2, 4};
    //int[] W = new int[] { 12, 2, 1, 1, 4 };

    int[] V = new int[]{30, 25, 2, 6};
    //int[] V = new int[] { 4, 2, 1, 2, 10 };

    /*
     * Max Weight
     */
    int M = 37;
    //int M = 15;
    int n = V.Length;

    /*
     * Run the algorithm
     */
    KnapsackGreProc(W, V, M, n);
}

You have the output:

Pack 0 - Weight 10 - Value 25
Pack 0 - Weight 10 - Value 25
Pack 0 - Weight 10 - Value 25
Pack 2 - Weight 4 - Value 6
Pack 3 - Weight 2 - Value 2
Max Value:	83

Counter-example of Greedy Three

The algorithm of Greedy Three resolves quickly and can also be optimal in some cases. However, in some special cases, it does not give the optimal solution. Here you have a counter-example:

Here is java code to run the above program with the counter-example:

public void run() {
	/*
	 * Pack and Weight - Value
	 */
	int W[] = new int[]{7, 6, 4};
	
	int V[] = new int[]{9, 6, 4};
	
	/*
	 * Max Weight
	 */
	int M = 10;
	int n = V.length;
	
	/*
	 * Run the algorithm
	 */
	knapsackGreProc(W, V, M, n);
}

Here is the result:

Pack 0 - Weight 7.0 - Value 9.0
Max Value:	9.0

That's all to Fractional Knapsack problem.

 

YOU MIGHT LIKE: