R Programming
Top 18 R Programming Interview Questions & Answers
1) Explain what is R? R is data analysis software which is used by analysts, quants,...
In this tutorial, you will learn
Linear regression answers a simple question: Can you measure an exact relationship between one target variables and a set of predictors?
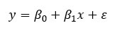
The simplest of probabilistic models is the straight line model:
where
= random error component
= intercept
= Coefficient of xConsider the following plot:
The equation is
is the intercept. If x equals to 0, y will be equal to the intercept, 4.77. is the slope of the line. It tells in which proportion y varies when x varies.
To estimate the optimal values of
and
, you use a method called Ordinary Least Squares (OLS). This method tries to find the parameters that minimize the sum of the squared errors, that is the vertical distance between the predicted y values and the actual y values. The difference is known as the error term.
Before you estimate the model, you can determine whether a linear relationship between y and x is plausible by plotting a scatterplot.
We will use a very simple dataset to explain the concept of simple linear regression. We will import the Average Heights and weights for American Women. The dataset contains 15 observations. You want to measure whether Heights are positively correlated with weights.
library(ggplot2) path <- 'https://raw.githubusercontent.com/gtupapers-edu/R-Programming/master/women.csv' df <-read.csv(path) ggplot(df,aes(x=height, y = weight))+ geom_point()
Output:
The scatterplot suggests a general tendency for y to increase as x increases. In the next step, you will measure by how much increases for each additional .
In a simple OLS regression, the computation of
and
is straightforward. The goal is not to show the derivation in this tutorial. You will only write the formula.
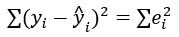
The goal of the OLS regression is to minimize the following equation:
where
is the actual value and
is the predicted value.
Note that
means the average value of x
In R, you can use the cov()and var()function to estimate
and you can use the mean() function to estimate
beta <- cov(df$height, df$weight) / var (df$height) beta
Output:
##[1] 3.45
alpha <- mean(df$weight) - beta * mean(df$height) alpha
Output:
## [1] -87.51667
The beta coefficient implies that for each additional height, the weight increases by 3.45.
Estimating simple linear equation manually is not ideal. R provides a suitable function to estimate these parameters. You will see this function shortly. Before that, we will introduce how to compute by hand a simple linear regression model. In your journey of data scientist, you will barely or never estimate a simple linear model. In most situation, regression tasks are performed on a lot of estimators.
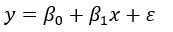
More practical applications of regression analysis employ models that are more complex than the simple straight-line model. The probabilistic model that includes more than one independent variable is called multiple regression models. The general form of this model is:
In matrix notation, you can rewrite the model:
The dependent variable y is now a function of k independent variables. The value of the coefficient
determines the contribution of the independent variable
and
.
We briefly introduce the assumption we made about the random error
of the OLS:

You need to solve for
, the vector of regression coefficients that minimise the sum of the squared errors between the predicted and actual y values.
The closed-form solution is:
with:
We use the mtcars dataset. You are already familiar with the dataset. Our goal is to predict the mile per gallon over a set of features.
For now, you will only use the continuous variables and put aside categorical features. The variable am is a binary variable taking the value of 1 if the transmission is manual and 0 for automatic cars; vs is also a binary variable.
library(dplyr) df <- mtcars % > % select(-c(am, vs, cyl, gear, carb)) glimpse(df)
Output:
## Observations: 32 ## Variables: 6 ## $ mpg <dbl> 21.0, 21.0, 22.8, 21.4, 18.7, 18.1, 14.3, 24.4, 22.8, 19.... ## $ disp <dbl> 160.0, 160.0, 108.0, 258.0, 360.0, 225.0, 360.0, 146.7, 1... ## $ hp <dbl> 110, 110, 93, 110, 175, 105, 245, 62, 95, 123, 123, 180, ... ## $ drat <dbl> 3.90, 3.90, 3.85, 3.08, 3.15, 2.76, 3.21, 3.69, 3.92, 3.9... ## $ wt <dbl> 2.620, 2.875, 2.320, 3.215, 3.440, 3.460, 3.570, 3.190, 3... ## $ qsec <dbl> 16.46, 17.02, 18.61, 19.44, 17.02, 20.22, 15.84, 20.00, 2...
You can use the lm() function to compute the parameters. The basic syntax of this function is:
lm(formula, data, subset) Arguments: -formula: The equation you want to estimate -data: The dataset used -subset: Estimate the model on a subset of the dataset
Remember an equation is of the following form
in R
Example:
You want to estimate the weight of individuals based on their height and revenue. The equation is
The equation in R is written as follow:
y ~ X1+ X2+...+Xn # With intercept
So for our example:
Your objective is to estimate the mile per gallon based on a set of variables. The equation to estimate is:
You will estimate your first linear regression and store the result in the fit object.
model <- mpg~.disp + hp + drat + wt fit <- lm(model, df) fit
Code Explanation
## ## Call: ## lm(formula = model, data = df) ## ## Coefficients: ## (Intercept) disp hp drat wt ## 16.53357 0.00872 -0.02060 2.01577 -4.38546 ## qsec ## 0.64015
The output does not provide enough information about the quality of the fit. You can access more details such as the significance of the coefficients, the degree of freedom and the shape of the residuals with the summary() function.
summary(fit)
Output:
## return the p-value and coefficient ## ## Call: ## lm(formula = model, data = df) ## ## Residuals: ## Min 1Q Median 3Q Max ## -3.5404 -1.6701 -0.4264 1.1320 5.4996 ## ## Coefficients: ## Estimate Std. Error t value Pr(>|t|) ## (Intercept) 16.53357 10.96423 1.508 0.14362 ## disp 0.00872 0.01119 0.779 0.44281 ## hp -0.02060 0.01528 -1.348 0.18936 ## drat 2.01578 1.30946 1.539 0.13579 ## wt -4.38546 1.24343 -3.527 0.00158 ** ## qsec 0.64015 0.45934 1.394 0.17523 ## --- ## Signif. codes: 0 '***' 0.001 '**' 0.01 '*' 0.05 '.' 0.1 ' ' 1 ## ## Residual standard error: 2.558 on 26 degrees of freedom ## Multiple R-squared: 0.8489, Adjusted R-squared: 0.8199 ## F-statistic: 29.22 on 5 and 26 DF, p-value: 6.892e-10
Inference from the above table output
You can run the ANOVA test to estimate the effect of each feature on the variances with the anova() function.
anova(fit)
Output:
## Analysis of Variance Table ## ## Response: mpg ## Df Sum Sq Mean Sq F value Pr(>F) ## disp 1 808.89 808.89 123.6185 2.23e-11 *** ## hp 1 33.67 33.67 5.1449 0.031854 * ## drat 1 30.15 30.15 4.6073 0.041340 * ## wt 1 70.51 70.51 10.7754 0.002933 ** ## qsec 1 12.71 12.71 1.9422 0.175233 ## Residuals 26 170.13 6.54 ## --- ## Signif. codes: 0 '***' 0.001 '**' 0.01 '*' 0.05 '.' 0.1 ' ' 1
A more conventional way to estimate the model performance is to display the residual against different measures.
You can use the plot() function to show four graphs:
- Residuals vs Fitted values
- Normal Q-Q plot: Theoretical Quartile vs Standardized residuals
- Scale-Location: Fitted values vs Square roots of the standardised residuals
- Residuals vs Leverage: Leverage vs Standardized residuals
You add the code par(mfrow=c(2,2)) before plot(fit). If you don't add this line of code, R prompts you to hit the enter command to display the next graph.
par(mfrow=(2,2))
Code Explanation
plot(fit)
Output:
The lm() formula returns a list containing a lot of useful information. You can access them with the fit object you have created, followed by the $ sign and the information you want to extract.
- coefficients: `fit$coefficients`
- residuals: `fit$residuals`
- fitted value: `fit$fitted.values`
In the last model estimation, you regress mpg on continuous variables only. It is straightforward to add factor variables to the model. You add the variable am to your model. It is important to be sure the variable is a factor level and not continuous.
df <- mtcars % > %
mutate(cyl = factor(cyl),
vs = factor(vs),
am = factor(am),
gear = factor(gear),
carb = factor(carb))
summary(lm(model, df))Output:
## ## Call: ## lm(formula = model, data = df) ## ## Residuals: ## Min 1Q Median 3Q Max ## -3.5087 -1.3584 -0.0948 0.7745 4.6251 ## ## Coefficients: ## Estimate Std. Error t value Pr(>|t|) ## (Intercept) 23.87913 20.06582 1.190 0.2525 ## cyl6 -2.64870 3.04089 -0.871 0.3975 ## cyl8 -0.33616 7.15954 -0.047 0.9632 ## disp 0.03555 0.03190 1.114 0.2827 ## hp -0.07051 0.03943 -1.788 0.0939 . ## drat 1.18283 2.48348 0.476 0.6407 ## wt -4.52978 2.53875 -1.784 0.0946 . ## qsec 0.36784 0.93540 0.393 0.6997 ## vs1 1.93085 2.87126 0.672 0.5115 ## am1 1.21212 3.21355 0.377 0.7113 ## gear4 1.11435 3.79952 0.293 0.7733 ## gear5 2.52840 3.73636 0.677 0.5089 ## carb2 -0.97935 2.31797 -0.423 0.6787 ## carb3 2.99964 4.29355 0.699 0.4955 ## carb4 1.09142 4.44962 0.245 0.8096 ## carb6 4.47757 6.38406 0.701 0.4938 ## carb8 7.25041 8.36057 0.867 0.3995 ## --- ## Signif. codes: 0 '***' 0.001 '**' 0.01 '*' 0.05 '.' 0.1 ' ' 1 ## ## Residual standard error: 2.833 on 15 degrees of freedom ## Multiple R-squared: 0.8931, Adjusted R-squared: 0.779 ## F-statistic: 7.83 on 16 and 15 DF, p-value: 0.000124
R uses the first factor level as a base group. You need to compare the coefficients of the other group against the base group.
The last part of this tutorial deals with the stepwise regression algorithm. The purpose of this algorithm is to add and remove potential candidates in the models and keep those who have a significant impact on the dependent variable. This algorithm is meaningful when the dataset contains a large list of predictors. You don't need to manually add and remove the independent variables. The stepwise regression is built to select the best candidates to fit the model.
Let's see in action how it works. You use the mtcars dataset with the continuous variables only for pedagogical illustration. Before you begin analysis, its good to establish variations between the data with a correlation matrix. The GGally library is an extension of ggplot2.
The library includes different functions to show summary statistics such as correlation and distribution of all the variables in a matrix. We will use the ggscatmat function, but you can refer to the vignette for more information about the GGally library.
The basic syntax for ggscatmat() is:
ggscatmat(df, columns = 1:ncol(df), corMethod = "pearson") arguments: -df: A matrix of continuous variables -columns: Pick up the columns to use in the function. By default, all columns are used -corMethod: Define the function to compute the correlation between variable. By default, the algorithm uses the Pearson formula
You display the correlation for all your variables and decides which one will be the best candidates for the first step of the stepwise regression. There are some strong correlations between your variables and the dependent variable, mpg.
library(GGally) df <- mtcars % > % select(-c(am, vs, cyl, gear, carb)) ggscatmat(df, columns = 1: ncol(df))
Output:
Variables selection is an important part to fit a model. The stepwise regression will perform the searching process automatically. To estimate how many possible choices there are in the dataset, you compute
with k is the number of predictors. The amount of possibilities grows bigger with the number of independent variables. That's why you need to have an automatic search.
You need to install the olsrr package from CRAN. The package is not available yet in Anaconda. Hence, you install it directly from the command line:
install.packages("olsrr")You can plot all the subsets of possibilities with the fit criteria (i.e. R-square, Adjusted R-square, Bayesian criteria). The model with the lowest AIC criteria will be the final model.
library(olsrr) model <- mpg~. fit <- lm(model, df) test <- ols_all_subset(fit) plot(test)
Code Explanation
Output:
Linear regression models use the t-test to estimate the statistical impact of an independent variable on the dependent variable. Researchers set the maximum threshold at 10 percent, with lower values indicates a stronger statistical link. The strategy of the stepwise regression is constructed around this test to add and remove potential candidates. The algorithm works as follow:
You can perform the algorithm with the function ols_stepwise() from the olsrr package.
ols_stepwise(fit, pent = 0.1, prem = 0.3, details = FALSE)arguments: -fit: Model to fit. Need to use `lm()`before to run `ols_stepwise() -pent: Threshold of the p-value used to enter a variable into the stepwise model. By default, 0.1 -prem: Threshold of the p-value used to exclude a variable into the stepwise model. By default, 0.3 -details: Print the details of each step
Before that, we show you the steps of the algorithm. Below is a table with the dependent and independent variables:
Dependent variable | Independent variables |
|---|---|
mpg | disp |
hp | |
drat | |
wt | |
qsec |
Start
To begin with, the algorithm starts by running the model on each independent variable separately. The table shows the p-value for each model.
## [[1]] ## (Intercept) disp ## 3.576586e-21 9.380327e-10 ## ## [[2]] ## (Intercept) hp ## 6.642736e-18 1.787835e-07 ## ## [[3]] ## (Intercept) drat ## 0.1796390847 0.0000177624 ## ## [[4]] ## (Intercept) wt ## 8.241799e-19 1.293959e-10 ## ## [[5] ## (Intercept) qsec ## 0.61385436 0.01708199
To enter the model, the algorithm keeps the variable with the lowest p-value. From the above output, it is wt
Step 1
In the first step, the algorithm runs mpg on wt and the other variables independently.
## [[1]] ## (Intercept) wt disp ## 4.910746e-16 7.430725e-03 6.361981e-02 ## ## [[2]] ## (Intercept) wt hp ## 2.565459e-20 1.119647e-06 1.451229e-03 ## ## [[3]] ## (Intercept) wt drat ## 2.737824e-04 1.589075e-06 3.308544e-01 ## ## [[4]] ## (Intercept) wt qsec ## 7.650466e-04 2.518948e-11 1.499883e-03
Each variable is a potential candidate to enter the final model. However, the algorithm keeps only the variable with the lower p-value. It turns out hp has a slighlty lower p-value than qsec. Therefore, hp enters the final model
Step 2
The algorithm repeats the first step but this time with two independent variables in the final model.
## [[1]] ## (Intercept) wt hp disp ## 1.161936e-16 1.330991e-03 1.097103e-02 9.285070e-01 ## ## [[2]] ## (Intercept) wt hp drat ## 5.133678e-05 3.642961e-04 1.178415e-03 1.987554e-01 ## ## [[3]] ## (Intercept) wt hp qsec ## 2.784556e-03 3.217222e-06 2.441762e-01 2.546284e-01
None of the variables that entered the final model has a p-value sufficiently low. The algorithm stops here; we have the final model:
## ## Call: ## lm(formula = mpg ~ wt + hp, data = df) ## ## Residuals: ## Min 1Q Median 3Q Max ## -3.941 -1.600 -0.182 1.050 5.854 ## ## Coefficients: ## Estimate Std. Error t value Pr(>|t|) ## (Intercept) 37.22727 1.59879 23.285 < 2e-16 *** ## wt -3.87783 0.63273 -6.129 1.12e-06 *** ## hp -0.03177 0.00903 -3.519 0.00145 ** ## --- ## Signif. codes: 0 '***' 0.001 '**' 0.01 '*' 0.05 '.' 0.1 ' ' 1 ## ## Residual standard error: 2.593 on 29 degrees of freedom ## Multiple R-squared: 0.8268, Adjusted R-squared: 0.8148 ## F-statistic: 69.21 on 2 and 29 DF, p-value: 9.109e-12
You can use the function ols_stepwise() to compare the results.
stp_s <-ols_stepwise(fit, details=TRUE)
Output:
The algorithm founds a solution after 2 steps, and return the same output as we had before.
At the end, you can say the models is explained by two variables and an intercept. Mile per gallon is negatively correlated with Gross horsepower and Weight
## You are selecting variables based on p value... ## 1 variable(s) added.... ## Variable Selection Procedure ## Dependent Variable: mpg ## ## Stepwise Selection: Step 1 ## ## Variable wt Entered ## ## Model Summary ## -------------------------------------------------------------- ## R 0.868 RMSE 3.046 ## R-Squared 0.753 Coef. Var 15.161 ## Adj. R-Squared 0.745 MSE 9.277 ## Pred R-Squared 0.709 MAE 2.341 ## -------------------------------------------------------------- ## RMSE: Root Mean Square Error ## MSE: Mean Square Error ## MAE: Mean Absolute Error ## ANOVA ## -------------------------------------------------------------------- ## Sum of ## Squares DF Mean Square F Sig. ## -------------------------------------------------------------------- ## Regression 847.725 1 847.725 91.375 0.0000 ## Residual 278.322 30 9.277 ## Total 1126.047 31 ## -------------------------------------------------------------------- ## ## Parameter Estimates ## ---------------------------------------------------------------------------------------- ## model Beta Std. Error Std. Beta t Sig lower upper ## ---------------------------------------------------------------------------------------- ## (Intercept) 37.285 1.878 19.858 0.000 33.450 41.120 ## wt -5.344 0.559 -0.868 -9.559 0.000 -6.486 -4.203 ## ---------------------------------------------------------------------------------------- ## 1 variable(s) added... ## Stepwise Selection: Step 2 ## ## Variable hp Entered ## ## Model Summary ## -------------------------------------------------------------- ## R 0.909 RMSE 2.593 ## R-Squared 0.827 Coef. Var 12.909 ## Adj. R-Squared 0.815 MSE 6.726 ## Pred R-Squared 0.781 MAE 1.901 ## -------------------------------------------------------------- ## RMSE: Root Mean Square Error ## MSE: Mean Square Error ## MAE: Mean Absolute Error ## ANOVA ## -------------------------------------------------------------------- ## Sum of ## Squares DF Mean Square F Sig. ## -------------------------------------------------------------------- ## Regression 930.999 2 465.500 69.211 0.0000 ## Residual 195.048 29 6.726 ## Total 1126.047 31 ## -------------------------------------------------------------------- ## ## Parameter Estimates ## ---------------------------------------------------------------------------------------- ## model Beta Std. Error Std. Beta t Sig lower upper ## ---------------------------------------------------------------------------------------- ## (Intercept) 37.227 1.599 23.285 0.000 33.957 40.497 ## wt -3.878 0.633 -0.630 -6.129 0.000 -5.172 -2.584 ## hp -0.032 0.009 -0.361 -3.519 0.001 -0.050 -0.013 ## ---------------------------------------------------------------------------------------- ## No more variables to be added or removed.
Machine learning is becoming widespread among data scientist and is deployed in hundreds of products you use daily. One of the first ML application was spam filter.
Following are other application of Machine Learning-
In supervised learning, the training data you feed to the algorithm includes a label.
Classification is probably the most used supervised learning technique. One of the first classification task researchers tackled was the spam filter. The objective of the learning is to predict whether an email is classified as spam or ham (good email). The machine, after the training step, can detect the class of email.
Regressions are commonly used in the machine learning field to predict continuous value. Regression task can predict the value of a dependent variable based on a set of independent variables (also called predictors or regressors). For instance, linear regressions can predict a stock price, weather forecast, sales and so on.
Here is the list of some fundamental supervised learning algorithms.
In unsupervised learning, the training data is unlabeled. The system tries to learn without a reference. Below is a list of unsupervised learning algorithms.
Ordinary least squared regression can be summarized in the table below:
Library | Objective | Function | Arguments |
|---|---|---|---|
base | Compute a linear regression | lm() | formula, data |
base | Summarize model | summarize() | fit |
base | Exctract coefficients | lm()$coefficient | |
base | Exctract residuals | lm()$residuals | |
base | Exctract fitted value | lm()$fitted.values | |
olsrr | Run stepwise regression | ols_stepwise() | fit, pent = 0.1, prem = 0.3, details = FALSE |
Note: Remember to transform categorical variable in factor before to fit the model.
1) Explain what is R? R is data analysis software which is used by analysts, quants,...
What is Apache? Apache is a remarkable piece of application software. It is the most widely used...
One of the most brilliant features of Angular.JS is the Testing aspect. When the developers at...
What is $scope in AngularJS? $scope in AngularJS is a built-in object which basically binds the...
What is a Variable? Variable is a name assign to a storage area that the program can manipulate. A variable...
Wireless Keyboard and Mouse enables you to eliminate wires to make your workstation clean and...